Students should be familiar with the general properties of simple harmonic motion (SHM). Students should also be familiar with the concepts of kinetic and potential energy and energy conservation.
Students will learn how to use energy conservation to obtain information about the potential energy of a simple pendulum. They will be able to describe the time dependence of the potential energy when the pendulum is oscillating. They will learn that the energy of the simple pendulum is proportional to the square of the amplitude of oscillation of the pendulum.
Students should understand the applet functions that are described in Help and ShowMe. The applet should be open. The step-by-step instructions on this page are to be done in the applet. You may need to toggle back and forth between instructions and applet if your screen space is limited.
Figure 1 illustrates the x-axis that will be used to describe the motion of the simple pendulum. We will use the bob's x-coordinate as the pendulum's position. The origin of the x-axis, x = 0, is at the bob's equilibrium position at the bottom of the swing.
Figure 1 For small amplitudes, the time dependence of the bob's x-coordinate approximates simple harmonic motion. The kinetic energy (KE) of a simple pendulum is a function of the time (t). |
Does the kinetic energy of a pendulum depend on time t? If so, how? Use the applet to find out. On the applet,

Sketch the position (x) vs. time (t) and velocity (vx) vs. time (t) graphs below. On the graphs, mark the points where the bob passes its far right (R), far left (L), and equilibrium positions (E).
Position vs. Time

Velocity vs. Time

Based on the velocity vs. time graph, is the kinetic energy of the pendulum changing with time? Explain.
|
Sketch the kinetic energy KE of the oscillating pendulum vs. time by
selecting it from the graph menu ( Kinetic Energy vs. Time Does your kinetic energy graph support your answer from Exercise 2? |
| Kinetic Energy The kinetic energy of a pendulum is related to its mass (m) amplitude (A), angular frequency (w), and time (t). | ||||||||||||||||||
| Expressed as an equation,
|
Rewind the applet, and step through the motion until the bob is as close to its equilibrium point as possible (the energy column would be entirely red at the equilibrium point). Record the value of the kinetic energy at this point from the Data box.
KE = _____________ J
Demonstrate how this value is calculated using equation (1).
The potential energy of the simple pendulum is strictly speaking the gravitational potential energy of the pendulum-earth system. We will refer to it as the "potential energy of the pendulum" for short.
The mechanical energy E, energy for short, of the simple pendulum stays constant during the pendulum's motion (if the motion is undamped, as it is in the applet). One says the energy is conserved. The mechanical energy is the sum of kinetic and potential energy,
E = KE + PE (2)
On the applet, play the motion and observe that during the motion there is an ongoing conversion of potential into kinetic energy or vice versa. Note that the sum of the two energies remains constant. This can be observed by selecting the potential energy, kinetic energy, and mechanical energy from the graph menu. Sketch all three energy lines on single graph. Energy vs. Time |
Now we will use equation (2) together with equation (1) to obtain information about the time dependence of the potential energy.
Reset (
Sketch a graph of the potential energy as function of time. Mark the points where the bob passes its far right (R), far left (L), and equilibrium positions (E). Potential Energy vs. Time
|
The potential energy at the bob's far right and far left positions and the value of the mechanical energy are calculated as follows.
The potential energy of the pendulum is 0 when the pendulum is at its equilibrium position. Therefore, at this point, the mechanical energy E is equal to the kinetic energy KE (all the energy at the equilibrium position is kinetic).
When the bob is either at its far right or far left positions, the bob is momentarily at rest and therefore its kinetic energy equals zero. At these two positions, all the energy is in the form of potential.
Since E is constant during the motion, the potential energy at the far right or far left is equal to the kinetic energy when the bob is passing its equilibrium position,
PEright,left = E = KEmax (3)
Equation (3) combined with equation (1) for the kinetic energy is used to derive a general expression for the potential energy at the far right or far left of the motion and for the energy E.
| Potential Energy The potential energy of a pendulum is related to its mass (m) amplitude (A) and angular frequency (w). | |||||||||||||||
| Expressed as an equation,
|
Use equation (4) to calculate the values of PEright,left and E for the applet settings in Exercise 6. Verify your answer with the values in the Data box and also with the value of the kinetic energy near the equilibrium point determined in Exercise 4 of the previous section. Note: the latter may not be quite equal to KEmax if you did not stop the motion at the exact equilibrium point.
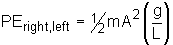
There is one other useful equation for determining the potential energy at the maximum amplitude. The angular frequency ω is related to the magnitude due to gravity g and the length L of the pendulum by
(5)
Substituting this expression for ω2 into equation (4) gives an expression for the energy in terms of m, g, L, and A.
(6)
Substitute the applet settings into equation (6) and check if the resulting value of PEright,left agrees with that obtained in Exercise 7.
Physics 20-30 v1.0
©2004 Alberta Learning (www.learnalberta.ca)
Last Updated: June 16, 2004